دلایل ریجکتی ویزای اسپانیا + ترجمه فارسی
(Guía completa de los motivos de denegación de visado de España)
چرا ویزای اسپانیا ریجکت میشود؟
ریجکتی ویزای اسپانیا یکی از مشکلات رایجی است که متقاضیان تور اسپانیا با آن مواجه میشوند. سفارت اسپانیا بر اساس قوانین اتحادیه اروپا و مقررات کُد ویزای شینگن (Schengen Visa Code) دلایل مشخصی برای رد درخواست ویزا دارد. شناخت این دلایل به شما کمک میکند تا اشکالات احتمالی پرونده خود را برطرف کرده و شانس دریافت ویزا در درخواست بعدی را افزایش دهید.
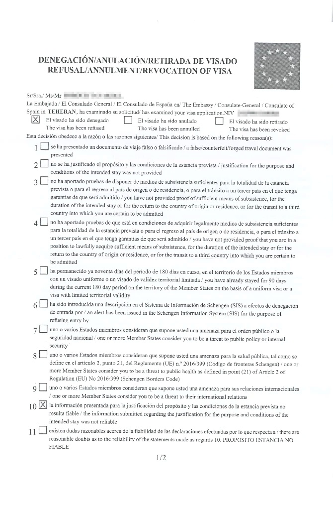
در زیر میتوانید صفحه اول و دوم یک نمونه برگه ریجکتی سفارت اسپانیا را مشاهده کنید:
در ادامه، ۱۷ دلیل رسمی ریجکتی ویزای اسپانیا را بهصورت کامل با ترجمه اسپانیایی و توضیح کوتاه فارسی مطالعه خواهید کرد.
🔹 ۱۷ دلیل ریجکت شدن ویزای اسپانیا (Motivos de denegación)
1. Se ha presentado un documento de viaje falso o falsificado
📘 ارائه مدارک جعلی یا دستکاریشده
اگر مدارک سفر مانند بلیت یا پاسپورت غیرواقعی باشد، پرونده ریجکت میشود. استفاده از مدارک جعلی یکی از سنگینترین دلایل رد ویزاست و میتواند باعث ممنوعیت سفر به شینگن شود.
2. No se ha justificado el propósito y las condiciones de la estancia prevista
📘 هدف و شرایط سفر بهدرستی توضیح داده نشده است
توضیح ناکافی یا مبهم درباره هدف سفر (گردشگری، دیدار خانواده، تجاری و…) باعث رد درخواست میشود. برنامه سفر و مدارک رزرو باید شفاف باشند.
3. No ha aportado pruebas de disponer de medios de subsistencia suficientes
📘 تمکن مالی ناکافی
در صورت نداشتن مدارک مالی معتبر یا حساب بانکی ضعیف، سفارت اطمینان نمیکند که شما توان پرداخت هزینههای سفر را دارید.
4. No ha aportado pruebas de que está en condiciones de abandonar el territorio
📘 تردید در بازگشت به کشور مبدأ پس از سفر
عدم وجود شواهد کافی از بازگشت (مانند شغل پایدار یا خانواده) باعث شک سفارت نسبت به نیت واقعی شما میشود.
5. Ha permanecido ya 90 días del período de 180 días en curso
📘 اقامت بیش از حد مجاز در شینگن
اگر در دوره ۱۸۰ روزه پیشین بیشتر از ۹۰ روز در شینگن بودهاید، واجد شرایط دریافت ویزای جدید نیستید.
6. Ha sido introducida una descripción en el SIS a efectos de denegación de entrada
📘 ثبت اخطار ورود در سیستم اطلاعات شینگن (SIS)
در صورت وجود هشدار در سیستم شینگن از کشور دیگر عضو، درخواست شما به طور خودکار رد میشود.
7. Uno o varios Estados miembros consideran que supone una amenaza para el orden público
📘 تهدید برای نظم عمومی یا امنیت داخلی
اگر کشوری از اتحادیه، شخص را خطری برای امنیت یا نظم بداند، صدور ویزا ممکن نیست.
8. Uno o varios Estados miembros consideran que supone una amenaza para la salud pública
📘 تهدید احتمالی برای سلامت عمومی
دارا بودن بیماریهای مسری یا شرایطی که سلامت عمومی را تهدید کند، میتواند منجر به رد ویزا شود.
9. Uno o varios Estados miembros consideran que supone una amenaza para sus relaciones internacionales
📘 تهدید برای روابط دیپلماتیک کشورها
در شرایط خاص، اگر ورود فرد بر روابط دیپلماتیک کشورها تأثیر منفی داشته باشد، ویزا صادر نمیشود.
10. La información presentada para la justificación del propósito y las condiciones de la estancia prevista no resulta fiable
📘 اطلاعات ارائهشده درباره هدف و شرایط حضور شما در اسپانیا غیرقابل اعتماد است
از دلایل پرتکرار ریجکتی است. مدارک هدف سفر (مدارک مالی، گواهی شغلی، هدف از سفرو......) باید منسجم و واقعی باشند، در غیر این صورت پرونده مردود میشود.
11. Existen dudas razonables acerca de la fiabilidad de las declaraciones efectuadas
📘 عدم اطمینان به صحت اظهارات متقاضی
اگر گفتههای شما با اسناد ارائهشده مطابقت نداشته باشند، افسر ویزا به آنها اعتماد نمیکند و درخواست رد میشود.
12. Existen dudas razonables acerca de la autenticidad de los documentos justificativos
📘 تردید در اصالت مدارک پشتیبان
در صورت وجود شک نسبت به واقعی بودن مدارکی مانند اسناد ملکی، گواهی اشتغال یا گردش حساب، سفارت درخواست را رد میکند.
13. Hay dudas razonables en cuanto a su intención de abandonar el territorio antes de la expiración del visado
📘 تردید درباره نیت بازگشت به کشور قبل از انقضای ویزا
یکی از مهمترین دلایل رد ویزای توریستی است. اگر وابستگی قوی به کشور مبدأ نداشته باشید (مثلاً شغل، خانواده، املاک)، احتمال دارد سفارت تصور کند قصد ماندن دارید.
14. No se han aportado pruebas suficientes de que no pudo solicitar un visado con antelación
📘 درخواست دیرهنگام یا بدون دلیل موجه
در صورتی که بدون برنامه از قبل اقدام کرده باشید و توضیح منطقی برای زمان درخواست وجود نداشته باشد، پرونده مردود میشود.
15. No se ha justificado el propósito y las condiciones del tránsito aeroportuario previsto
📘 توضیح ناکافی درباره ترانزیت فرودگاهی
برای ویزای ترانزیت باید هدف عبور و مدارک پرواز کاملاً روشن و واقعی باشند.
16. No ha aportado la prueba de estar en posesión de un seguro médico de viaje adecuado y válido
📘 نداشتن بیمه مسافرتی معتبر و کافی
نداشتن بیمه با پوشش حداقل ۳۰٬۰۰۰ یورو یکی از دلایل ساده ولی مهم رد شدن ویزاست.
17. El titular del visado solicitó la retirada del visado
📘 لغو درخواست ویزا توسط خود متقاضی
در این حالت، رد شدن به درخواست خود شما انجام میشود و معمولاً دلیلی منفی برای آینده ندارد.
🔸 نکته نهایی
شناخت دقیق این ۱۷ دلیل رسمی ریجکتی به شما کمک میکند تا در اعتراض به ریجکتی ویزای اسپانیا یا درخواست مجدد ویزا مدارک و توضیحات خود را دقیقتر آماده کنید. باید توجه داشته باشید که از تاریخی که در پایین صفحه دوم برگه ریجکتی درج شده است یکماه زمان دارید تا برگه اعتراض به ریجکتی ویزای اسپانیا را به سفارت اسپانیا تحویل دهید . ارائه مدارک معتبر، هدف سفر واقعی و اثبات وابستگی به کشور مبدأ، کلید موفقیت در پروندهی شماست.
